ARAMA
Bahçeli Belediyesi

GAZİLER MAHALLESİNDEKİ İMAR UY...

Geri

GAZİLER MAHALLESİNDEKİ İMAR UYGULAMASI ÇALIŞMASI TAMAMLANMIŞTIR.

15 Ocak 2024

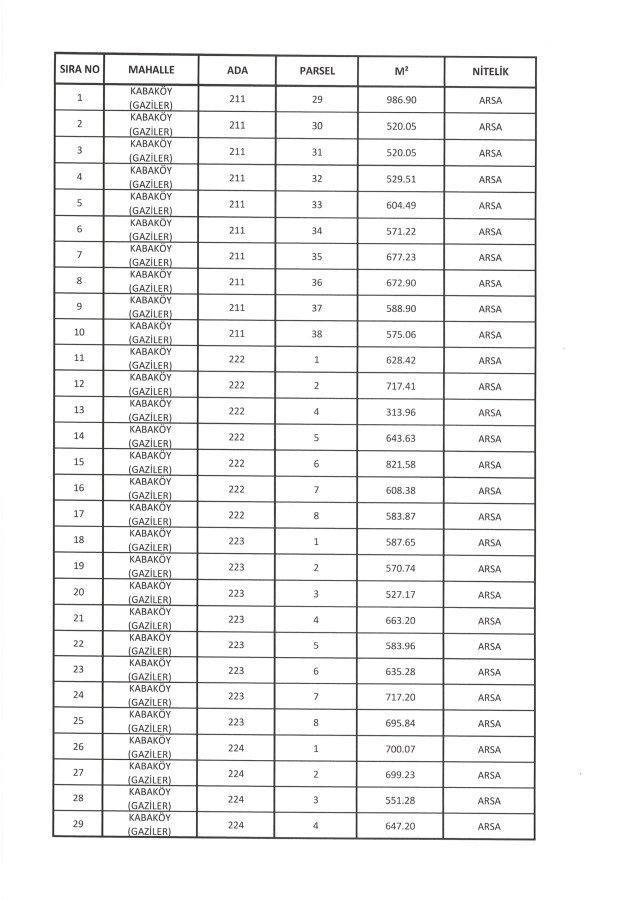
Vatandaşlarımızın konut yapması için gerekli arsa ihtiyacını karşılamak amacıyla Belediyemizin büyük gayretleri sonucunda, (Kabaköy) Gaziler Mahallesindeki imar uygulaması çalışması tamamlanmış olup mülkiyeti Maliye Hazinesi adına ait yeni parseller oluşturulmuştur.

Satın almak isteyen vatandaşlarımızın Gümüşhane Milli Emlak Müdürlüğüne başvuru yapmaları gerekmektedir.

 

NOT: Arsa satışları Milli Emlak Müdürlüğü tarafından ihale yolu ile yapılmaktadır.

 

Bilgi için:

Harita Mühendisi: Abdul Latif TANIŞ

Telefon                 : 0542 260 14 05